The Moderating Role of Locus of Hope between Perceived Stress and Academic Resilience Amidst Pandemic
- Patricia Mae A. Taba
- 4525-4533
- Feb 22, 2025
- Psychology
The Moderating Role of Locus of Hope between Perceived Stress and Academic Resilience Amidst Pandemic
Patricia Mae A. Taba
De La Salle University, Philippines
DOI: https://dx.doi.org/10.47772/IJRISS.2025.9010346
Received: 15 January 2025; Accepted: 19 January 2025; Published: 21 February 2025
ABSTRACT
The stress brought by the new academic set-up has put a strain on a lot of college students during this pandemic. One important question that needs to be explored is how good academic outcomes can be achieved in this challenging time. With students being stuck at home in this set-up, hope is viewed as a possible psychological resource that students can draw from to buffer stress. Thus, this study investigated if the external locus-of-hope (LOH) can moderate the effects of perceived stress on the academic resilience of Filipino college students. The scales used were Perceived Stress Scale-10, Academic Resilience Scale-30, and Locus of Hope (LOH) Scale. A total of 336 college students from different universities in the Philippines answered the online survey. As expected, academic resilience is negatively predicted by perceived stress and positively predicted by the four LOH dimensions. However, only External-Family LOH and External-Spiritual Being LOH showed significant buffering effects between perceived stress and academic resilience. Practical implications such as the importance of identifying resilience factors that would protect the students from the immense stress brought about by the COVID-19 pandemic are discussed.
Keywords: stress, locus of hope, academic resilience, remote learning, COVID-19
The Coronavirus disease (COVID-19) pandemic forced a lot of people around the world to adjust to different living and working conditions in order to ensure safety and to curb the spread of the virus. University students are one of the most affected by government-imposed quarantines and school closures (Grubic et al., 2020) as student deliverables and expectations became even more demanding in the new set-up. It has been highlighted that the circumstances had brought about worries and stress, particularly related to limited access to resources, possible academic delays, and changes and adjustments in the students’ routines in areas of school activities and other social interactions (Cao et al., 2020). Relative to other academic levels, AlAteeq et al. (2020) highlighted that college students had scored significantly higher in the levels of stress. Given that students at the college level can be considered emerging adults, they are likely also working on exploring their identity, thinking of future work opportunities, and having many other roles to fulfill besides their academic pursuits (Arnett et al, 2000). Combining all of these stressors, it is then not surprising that college students are among those who experience a great deal of stress (Lupien et al., 2009).
In one study by Leppink et al., (2016), more than 60% of the students have stated that they have experienced moderate to severe levels of perceived stress. García-León et al., (2019) may argue that these higher perceived stress scores may be associated with low resilience. Despite this, Rutter (2012) emphasized that it is also possible that some individuals can achieve relatively good outcomes, which indicates good resilience. Studies have shown that children and adolescents showed possibly higher competence even under stress (Luthar, 1991; Phillips et al., 2019; Ronen, 2021). The different results of these studies support Masten’s (2011) claim that individuals can respond differently to stressors.
Masten (2014, p. 7) defines resilience as “the capacity of a dynamic system to adapt successfully to disturbances that threaten system function, viability, or development.” It includes academic, emotional, social, and behavioral domains. Luthar, Cicchetti, and Becker (2000) argued that with multidimensional resilience, individuals tend to be competent in some domains and not in others. As such, academic resilience has emerged as a context-specific form of individual psychological resilience and the said domain is concerned primarily with the relevance of resilience in educational contexts (Martin, 2013, p. 488). Although there have been several types of research that studied resilience in different challenging life circumstances such as receiving poor parenting, belonging to a broken family, being raised in affluence or underprivileged environment (Luthar, Cicchetti, & Becker, 2000; Masten, 2001), there is still a considerably small amount of evidence that explores the specific domain of academic resilience.
In a cross-sectional study of nursing undergraduate students, more than 90% of the participants reported moderate to severe stress, and findings showed that the higher the stress levels perceived, the lower the levels of resilience (Pourafzal et al, 2013). This is consistent with the study of Solomon (2013) and Willis and Burnett (2016), in which perceived stress displayed a negative association with resilience. These findings were also seen in samples of Alzheimer’s disease caregivers (Wilks & Croom, 2008), sexual and gender minority youths and adults (McElroy, Wintemberg, Cronk, & Everett, 2016), and women living with HIV. Interestingly, among Alzheimer’s disease caregivers, perceived stress showed a positive association with resilience in interaction with social support (Wilks & Croom, 2008). This led us to hypothesize that there could be other factors that would moderate the effects of stress on resilience such as hope. Indeed, the findings of one study point to the moderating effects of hope by showing how elevated stress levels can still lead to resilience if individuals have high levels of hope (Walsh, 2020).
Snyder defined hope as “the process of thinking about one’s goals, along with the motivation to move toward those goals (agency), and the ways to achieve those goals (pathways)” (Snyder, 1995, p.355). However, these components of hope are not stagnant as one is in the process of obtaining a goal but rather, both agency and pathways are continuously being internally reassessed (Snyder et al., 2000). The Locus of Hope theory extends Snyder’s Hope Theory by proposing that hope can be sourced both internally and externally (Bernardo, 2010). With the additional external locus of hope dimension to Snyder’s conceptualization of an internally sourced hope, it is assumed that hope can also be derived from family, peers, and a spiritual being. In the study by Valle (2006), hope was shown to buffer against the effects of perceived stress and other negative life events on psychological strength. In the study of Rojas (2015), hope was tested to have a moderating effect on the relationship between perceived stress and academic resilience of college students, which demonstrated how family support and family guidance can also foster academic resilience in students. Despite this, there is still a scarcity of studies that support hope’s (both internal and external locus of hope) moderating roles in areas of resilience studies. With locus of hope having four dimensions (internal, external-family, external-peers, external-spiritual being), the researchers aimed to test whether these dimensions of hope moderate the effects of perceived stress on academic resilience. Four separate moderation analyses were conducted to test the study’s hypothesis.
MATERIALS AND METHOD
Participants
The participants in this study are all from the college level. Three-hundred and thirty-six participants answered the survey, but 38 cases had to be dropped from the analysis after data cleaning due to incomplete answers to the forms. Their age range is between 18 to 25 years old (M=20.42, SD=1.34).
Instruments
Academic Resilience Scale-30. The thirty-item Academic Resilience Scale (ARS-30) is a context-specific measure of academic resilience comprising cognitive-affective and behavioral responses to adversity in an academic setting (Cassidy, 2016). The respondents were requested to rate their responses using a 5-point Likert scale from likely (1) to unlikely (5). There are 3 factors involved: perseverance, reflecting and adaptive-help-seeking, and negative affect and emotional response. It also has an internal consistency of 0.90 on the Global Scale.
Perceived Stress Scale-10. The Perceived Stress Scale-10 (PSS-10) has emerged as one of the most popular measures of perceived stress (Karam et al., 2012). The scale is a self-report questionnaire comprising 10 items that measure the participants’ perception of “how unpredictable, uncontrollable, and overloaded respondents find their lives” (Cohen & Williamson, 1988, p. 34). PSS-10 is on a 5-point Likert scale ranging from 1 (Never) to 5 (Very Often), with reversed scoring for items 4, 5, 7, and 8. The scale displayed factorial validity, reliability, and longitudinal measurement invariance among a sample of Filipino college students (Simon, 2020). The reliability overall measure of the scale was .78.
Locus of Hope Scale. Bernardo (2010) developed and validated an extension of the Dispositional Hope Scale which was entitled the Locus of Hope Scale. The scale consists of 40 items with a 4-point Likert scale (1 = strongly disagree, 4= strongly agree). It has 4 dimensions namely: internal locus of hope, external-family locus of hope, external-peers locus of hope, and external spiritual locus of hope. All of these dimensions showed good reliability (internal hope α = .87, external-family α = .86, external-peers α = .90, external-spiritual, α = .98). The mean scores are calculated for the four dimensions, respectively, with higher scores indicating higher levels of hope.
Ethical Considerations
Participants were asked to read and sign an informed consent form which contains the overview of the study, their right to withdraw at any time, the process of the research, and the terms and conditions regarding their involvement in the study such as the benefit and the foreseen risks (if any) of their involvement. Before the start of the survey, the consent form was included on the first page of the online survey. Contact information of the primary researcher was provided in the consent form to address any concerns the participants may have. Once they had consented, they were asked to click next to proceed to the page.
All the disclosed data were treated with confidentiality. A control number was given to the participants in the encoding of the data to ensure that their privacy was kept, and that no personal information could be traced back to them.
Theory
According to Hope Theory, human action is goal-directed, with hope being a cognitive set of goal-directed expectations consisting of two dimensions: hope agency and hope pathways (Snyder et al., 2000). The pathways and agency components of hope are assumed to be trait-like dispositions and are both regarded as necessary for hopeful thinking to occur in the pursuit of one’s goals (Snyder et al., 2002). In this conceptualization of hope, one’s thinking about goal-directed activities is assumed to play an important role in the subsequent attainment of positive outcomes, and goal setting is perceived to be a purely individual pursuit (Snyder, et al, 1996). In addition, hope has been associated with the subjective perception of resilience (Gillespie et al., 2007). According to Snyder et al. (1991), hope drives resilience since a hopeful individual would have cognitive sets such as “I can do this,” “I have a way to do it,” and “I will achieve it,” and these increase motivation in the face of persistent barriers. In addition, hope has been seen as a protective factor that moderates the development of resilience (Oktan, 2012), and has been identified as a construct of resilience in diverse clinical and social contexts (Kohli & Mather, 2003). It is also associated with constructing and understanding goals not only with the management in averting and facing stress (Werner, 1992; Snyder & McCullough, 2000). In these studies, hope and resilience have been examined using the conceptualization of hope as merely an internal, goal-oriented cognition. This may be seen in the point of view of the independent construct of the self which is more dominant in Western cultures (Markus & Kitayama, 1991). However, as other cultures may consider giving importance to the feedback of others in terms of actions and goal attainment, understanding this phenomenon under Snyder’s hope theory may seem limited. That said, Bernardo’s locus of hope is used in the current study which includes both internal and three external loci-of-hope (family, peers, and spiritual) that are identified as possible factors contributing to goal attainment. Thus, the current study tested if both the potential dimensions of hope (internal and external loci) moderate the effects of perceived stress on academic resilience (see Figure A).
RESULTS
Table A. Descriptive Statistics and Correlations
| M | SD | α | Correlations (r) | |||||
| (2) | (3) | (4) | (5) | (6) | ||||
| Age | 20.42 | 1.34 | — | — | — | — | — | — |
| (1) Perceived Stress (PS) | 22.74 | 5.65 | .78 | -.15* | -.29* | .05 | -.06 | -.14* |
| (2) Academic Resilience (AR) | 117.13 | 15.81 | .90 | — | .55* | .18* | .39* | .40* |
| (3) INT_LH | 3.17 | .51 | .87 | — | .39* | .41* | .52 | |
| (4) EXTPE_LH | 2.98 | .62 | .90 | — | .38* | .47* | ||
| (5) EXTSP_LH | 3.25 | .80 | .98 | — | .70* | |||
| (6) EXTPA_LH | 3.04 | .65 | .86 | — | ||||
*Correlation is significant at the 0.05 level.
**N=298
INT_LH: Internal Locus of Hope; EXTPE_LH: External Locus of Hope – Peer; EXTSP_LH: External Locus of Hope – Spiritual Being; EXTPA_LH: External Locus of Hope – Family
Table A. includes the descriptive statistics and correlations across the different variables included in this study. All the scales used were computed as well and mostly generated high internal consistencies with Cronbach’s α between .78 to .98.
Perceived Stress (PS) is negatively associated with Academic Resilience (AR), Internal LH, and External – Family LH. Academic Resilience, on the other hand, was found to be positively correlated with all four domains of Locus of Hope.
Table B. Moderation analysis with Internal Locus of Hope as the Moderator
| b | SE B | t | p | LLCI | ULCI | |
| Perceived Stress (PS) | .22 | .81 | .27 | .78 | -1.38 | 1.82 |
| Internal Locus of Hope (INT_LH) | 18.54 | 6.17 | 3 | .00 | 6.39 | 30.69 |
| PS * INT_LH | -.06 | .24 | -.25 | .80 | -.54 | .42 |
Table B is the first moderation analysis with Internal Locus of Hope as the moderating factor between Perceived Stress and Academic Resilience. As seen in the table, perceived stress is not significantly related to academic resilience. Perceived stress also did not significantly predict academic resilience in interaction with Internal Locus of Hope, b= -.06, 95% CI [-0.54,0.42], t= -.25, p>0.05. However, Internal Locus of Hope significantly predicts Academic Resilience.
Table C. Moderation analysis with External-Peers Locus of Hope as the Moderator
| b | SE B | t | P | LLCI | ULCI | |
| Perceived Stress (PS) | -1.49 | .78 | -1.91 | .05 | 101.57 | .04 |
| External Locus of Hope (EXT-PE_LH) | -2.85 | 5.70 | -.50 | .61 | -3.02 | 8.36 |
| PS * EXT-PE_LH | .34 | .25 | 1.36 | .17 | -.15 | .83 |
In Table C, it can be seen that Perceived Stress significantly predicts Academic Resilience while the external locus of hope-peers does not. However, the interaction between perceived stress and external locus of hope-peers turned out to be non-significant, b=.34, 95% CI [-0.15,0.83], t=1.36, p>0.05.
Table D. Moderation analysis with External-Spiritual Higher Being Locus of Hope as the Moderator
| b | SE B | t | P | LLCI | ULCI | |
| Perceived Stress (PS) | -1.98 | .60 | -3.30 | .00 | -3.14 | -.79 |
| External Locus of Hope (EXT-SP_LH) | -3.62 | 4.12 | -.88 | .38 | -11.74 | 4.50 |
| PS * EXT-SP_LH | .49 | .18 | 2.78 | .00 | .14 | .84 |
Table D shows that Perceived Stress is significantly related to Academic Resilience, both independently and in interaction with external locus of hope-spiritual higher being, b=.49, 95% CI [0.14,0.84], t=2.78, p<0.05. External locus of hope-spiritual higher being does not significantly predict academic resilience.
Table E. Moderation analysis with External-Family Locus of Hope as the Moderator
| B | SE B | t | P | LLCI | ULCI | |
| Perceived Stress (PS) | -1.78 | .77 | -2.32 | .02 | -3.28 | -.27 |
| External Locus of Hope (EXT-PA_LH) | -.55 | 5.79 | -.09 | .92 | -11.94 | 10.84 |
| PS * EXT-PA_LH | .49 | .24 | 2.01 | .05 | .01 | .96 |
Table E shows that perceived stress predicts academic resilience independently and in interaction with External Locus of Hope-Family, b=.49, 95% CI [0.01,0.96], t=2.01, p<.05. External Locus of Hope-Family does not significantly predict academic resilience.
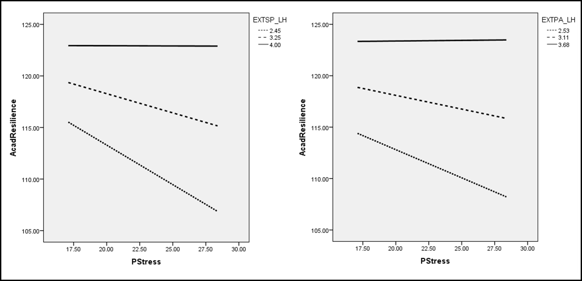
Figure B. On the left, External – Spiritual Being Locus of Hope as a moderator of the relationship between Perceived Stress and Academic Resilience. On the right side, External – Family Locus of Hope as a moderator between the relationship between Perceived Stress and Academic Resilience
To understand the contrasting moderation effects, the slopes were drafted (see Figure 2). The Johnson-Neyman technique revealed that the relationship of perceived stress and academic resilience was significant for all values of external LOH spiritual being up to 3.41 standard deviations above the mean, but not significant for values beyond 3.41. Thus, the left side of Figure B shows that moderation is significant if there is a low to moderate level of locus-of-hope from spiritual being. On the other hand, Johnson-Neyman technique also demonstrated that the relationship is significant for all values of the external LOH family up to 3.05 above the mean, but not significant beyond 3.05. This is seen at the right side of Figure B where the conditional effects show the moderation would be significant if there is a low to moderate level of locus-of-hope from family.
DISCUSSION
The study was conducted to test the moderating effects of the four dimensions of locus of hope on the relationship between perceived stress and academic resilience. Based on the correlation analyses, there is an inverse relationship between perceived stress and academic resilience. This is consistent with Wilks’ (2008) and Wilks and Spivey’s (2010) resilience research, which pointed out stress as a risk factor. Another study also found that stress is negatively associated with resilience (Hernandez et al., 2019) wherein they have identified that the stressful conditions may also be a test of sufficiency of the possible internal protective factors that could activate resilience. The researchers have also identified that it is possible that it is not that the resilience resource is not there, it is just not properly implemented (Hernandez et al., 2019).
The findings beg the question of whether hope will be able to moderate the relationship between perceived stress and academic resilience of Filipino students amidst pandemic, especially since hope is assumed to be a beneficial trait that successfully assists management of psychological stress (Snyder & Lopez, 2007). In the current study, external LOH – spiritual being and external – family locus-of-hope obtained significant interaction effects with perceived stress in predicting academic resilience. The findings are consistent with Valle et al.’s (2006) research that showed hope as a buffer to the stress and other stress-related events that adolescents and young adults face. From the results of the current study, hope sourced from family and from belief in a spiritual being can then be assumed as protective factors that can lead to academic resilience.
Stress in interaction with high internal locus of hope does not predict resilience in terms of academics but is successfully moderated by hope from spiritual-being and family. The significance of external-family and external- spiritual being loci-of-hope may be culturally related results. As COVID-19 pandemic hit the Philippines, schools closed, and Filipino students were forced to stay at home with their family members. Despite the changes in school systems and the platform, the hope sourced from parents contributed to students’ capacity to adjust to the challenges of school set-up brought about by pandemic. In addition, most Filipinos gives value to religion and spirituality. This may be a factor that makes hope from belief of a spiritual-being productively moderate the effects of stress on academic resilience. Filipino students may have obtained hope from praying to their spiritual being and having family around during the times of stress and academic challenges. These may support Bernardo et al. (2018) that relational-related coping styles (external LOH spiritual being and family) may be seen in collectivist societies such as the Philippines despite the presences of significant adversity such as sudden change in school system and the COVID-19 pandemic.
Interestingly, even though external locus of hope is generally seen as a successful buffer in stress-related events (e.g. Bernardo, 2015), the results in this study specifically in external-peer locus of hope was not significant. This may be because with the COVID-19 pandemic, individuals were ordered to maintain physical distance and were directed to stay-at home. Since Filipino college students usually stayed with their families, interactions with peers/ friends were likely lessened and kept to a minimum. With the diminished social interaction, it became difficult to have friends as a source of hope during this challenging time.
CONCLUSION
The study contributed to the understanding of hope as a possible moderator between perceived stress and academic resilience. This also contributes to creating school programs for students that aim to counter their perceived stress. School-based programs may include psychoeducation about the importance of family and spiritual beings as sources of hope for students, followed by activities and exercises that would facilitate the development of hope in them. School counselors/ teachers may also encourage the students to talk to their families more often and to encourage spirituality among them. One limitation of the study is that it is cross-sectional in nature and data was collected at one point in time only. Future research may consider conducting longitudinal studies that would better establish the cause-and-effect relationship between the variables, especially involving the locus-of-hope dimensions. Future researchers may also want to include student participants across other areas of the Philippines and to increase the sample size. A further look into other possible predictors of academic resilience is also recommended, to better help students manage their stress and survive the changes brought about by the COVID-19 pandemic and other similar situations.
ACKNOWLEDGEMENT
The authors wish to thank Professor Allan B.I. Bernardo for allowing us to use the Locus of Hope scale for this study.
Data Availability Statement
The dataset analyzed in this research can be made available from the main author upon request.
Declaration of Interest
There are no conflicts of interest to declare.
REFERENCES
- Adamu, A., Mchunu, G., & Naidoo, J.R. (2019). Stress and resilience among women living with HIV in Nigeria. African Journal of Primary Health Care & Family Medicine, 11(1), a2046. https://doi.org/10.4102/ phcfm. v11i1.2046
- AlAteeq, D. A., Aljhani, S., & AlEesa, D. (2020). Perceived stress among students in virtual classrooms during the COVID-19 outbreak in KSA. Journal of Taibah University Medical Sciences, 15(5), 398–403.
- Arnett, JJ. (2000). Emerging adulthood: a theory of development from the late teen through the twenties. American Psychologist Journal, 55: 469-480.
- Bernardo, A. B. I. (2010). Extending hope theory: Internal and external locus of trait hope. Personality and Individual Differences, 49(8), 944–949. https://doi.org/10.1016_j.paid.2010.07.036
- Bernardo, A. B. I. (2015). Hope in Early Adolescence Measuring Internal and External Locus-of-Hope. Child Indicators Research, 8(3), 699–715. doi10.1007s12187-014-9254-6
- Bernardo, A. B. I., Yeung, S.S., Resurreccion, K.F., Resurreccion, R.R., & Khan, A. (2018). External locus of hope, well-being, and coping of students: A cross-cultural examination within Asia. Psychol Schs. 2018; 55:908–923. https://doi.org/10.1002/pits.2215
- Cao, W., Fang, Z., Hou, G., Han, M., Xu, X., Dong, J., & Zheng, J. (2020). The psychological impact of the COVID-19 epidemic on college students in China. Psychiatry Research, 112934. https://doi.org/10.1016j.psychres.2020.1
- Cassidy S. (2016). The Academic Resilience Scale (ARS-30): A new multidimensional construct measure. Frontiers in Psychology, 7:1787. https://doi.org/10.3389/fpsyg.2016.01787.
- Cohen, S., Kamarck, T., & Mermelstein, R. (1983). A global measure of perceived stress. Journal of Health and Social Behavior, 24(4), 385–396. https://doi.org/10.2307/2136404
- Cohen, S., & Williamson, G. (1988). Perceived stress in a probability sample of the U.S. In S. S. S. Oskamp (Ed.). The social psychology of health (Vol. 13, pp. 31–67). Sage.
- Du, H., Bernardo, A. B. I., & Yeung, S. S. (2015). Locus-of-hope and life satisfaction: The mediating roles of personal self-esteem and relational self-esteem. Personality and Individual Differences, 83, 228–233.
- Feldman, D.B. & Dreher, D.E. (2012). Can hope be changed in 90 minutes? Testing the efficacy of a single-session goal-pursuit intervention for college students. Journal of Happiness Studies. 13:745–59. https://doi.org/10.1007/s10902-011-9292-4
- García-León, M. Á., Pérez-Mármol, J. M., Gonzalez-Pérez, R., García-Ríos, M. del C., & Peralta-Ramírez, M. I. (2019). Relationship between resilience and stress: Perceived stress, stressful life events, HPA axis response during a stressful task and hair cortisol. Physiology and Behavior, 202, 87–93. https://doi.org/10.1016/j.physbeh.2019.02.001
- Gillespie, B.M., Chaboyer, W., Wallis, M, & Grimbeek, P. (2007). Resilience in the operating room: developing and testing of a resilience model. Journal of Advanced Nursing, 59(4), 427-38. https://doi.org/10.1111/j.1365-2648.2007.04340.x
- Grubic, N., Badovinac, S., & Johnri, A. (2020). Student mental health in the midst of the COVID-19 pandemic: A call for further research and immediate solutions. International Journal of Social Psychiatry. https://doi.org/1177/0020764020925108.
- Hernández, A. L., Escobar, S. G., Fuentes, N. I. G. A. L., & Eguiarte, B. E. B. (2019). Stress, self‐efficacy, academic achievement and resilience in emerging adults. Electronic Journal of Research in Educational Psychology, 17(47), 129–148.
- Junqiao, g., Ling, L., Bihua, Z., & Daoyang, W. (2020). Teacher Support and mental well-being in Chinese adolescents: The mediating role of negative emotions and resilience. Frontiers in Psychology. https://doi.org/10.3389/fpsyg.2019.03081.
- Karam, F., Bérard, A., Sheehy, O., Huneau, M., Briggs, G., Chambers, C., Einarson, A., Johnson, D., Kao, K., Koren, G., Martin, B., olifka, J., Riordan, S., Roth, M., Lavigne, S., & Wolfe, L. (2012). Reliability and validity of the 4-item Perceived Stress Scale among pregnant women: Results from the OTIS antidepressants study. Research in Nursing & Health, 35, 363-75. https://doi.org/10.1002/nur.21482.
- Kohli, R. & Mather, R. (2003). Promoting Psychosocial Well-Being in Unaccompanied Asylum-Seeking Young People in the United Kingdom. Child & Family Social Work, 8. 201 – 212. https://doi.org/10.1046/j.1365-2206.2003.00282.x.
- Leppink, E.W., Odlaug, B.L., Lust, K., Christenson, G., & Grant, J.E. (2016). The young and stressed: Stress, impulse control, and health in college students. The Journal of Nervous and Mental Disease, 204, 931–938.
- Lines, R. L. J., Ducker, K. J., Ntoumanis, N., Thøgersen-Ntoumani, C., Fletcher, D., McGarry, S., & Gucciardi, D. F. (2020). Stress, physical activity, and resilience resources: Tests of direct and moderation effects in young adults. Sport, Exercise, and Performance Psychology, 9(3), 418–436.
- Lupien, S.J., McEwen, B.S., Gunnar, M.R., Heim, C. (2009) Effects of stress throughout the lifespan on the brain, behaviour and cognition. Nature Reviews Neuroscience, 10, 434–445.
- Luthar, S. (1991). Vulnerability and resilience: A Study of high‐risk adolescents. Journal of Child Development, 62(3), 600-616. https://doi.org/10.1111/j.1467-8624.1991.tb01555.x
- Luthar, S. (2006). Resilience in development: A synthesis of research across five decades. In D. Cicchetti & D. J. Cohen (Eds.), Developmental psychopathology: Vol. 3. Risk, disorder, and adaptation (2nd ed. pp. 739–795). Wiley.
- Luthar, S. S., Cicchetti, D., & Becker, B. (2000). The construct of resilience: A critical evaluation and guidelines for future work. Child Development, 71, 543–562. https://doi.org/10.1111/1467-8624.00164
- Markus, H. R., & Kitayama, S. (1991). Culture and the self: Implications for cognition, emotion, and motivation. Psychological Review, 98(2), 224–253. https httpsdoi.org10.10370033-295X.98.2.224
- Martin, A. J. (2013). Academic buoyancy and academic resilience: Exploring ‘everyday’ and ‘classic’ resilience in the face of academic adversity. School Psychology International, 34, 488-500. https://doi.org/10.1177/0143034312472759
- Masten, A.S. (2001). Ordinary magic: Resilience processes in development. American Psychologist, 56, 227–238.
- Masten, A. S. (2014). Global perspectives on resilience in children and youth. Child Development, 85(1), 6–20.
- McElroy, J.A., Wintemberg, J.J., Cronk, N.J. & Everett, K.D. (2016). The association of resilience, perceived stress and predictors of depressive symptoms in sexual and gender minority youths and adults, Psychology & Sexuality, 7(2), 116-130. https://doi.org/10.1080/19419899.2015.1076504
- Oktan, V. (2012). Hope as a moderator in the development of psychological resilience. Linguistics and the Human Sciences. 9. 1761-1771.
- Phillips, S.P., Reipas, K. & Zelek, B. (2019). Stresses, Strengths and Resilience in Adolescents: A Qualitative Study. J Primary Prevent 40, 631–642. https://doi.org/10.1007/s10935-019-00570-3
- Pourafzal, F., Seyedfatemi, N., Inanloo, M., & Haghani, H. (2013). Relationship between perceived stress with resilience among undergraduate nursing students. HAYAT, 19(1), 1-12.
- Rojas F., L. F. (2015). Factors affecting academic resilience in middle school students: A case study. GiST Education and Learning Research Journal, 11(11), 63–78. https://doi.org/10.26817/16925777.286
- Ronen, T. (2021). The Role of Coping Skills for Developing Resilience Among Children and Adolescents. In: Kern, M.L., Wehmeyer, M.L. (eds) The Palgrave Handbook of Positive Education. Palgrave Macmillan, Cham. https://doi.org/10.1007/978-3-030-64537-3_14
- Rutter, M. (2007). Resilience, competence, and coping. Child Abuse & Neglect, 31(3), 205–209.
- Rutter, M. (2012). Resilience as a dynamic concept. Development and Psychopathology, 24(2), 335–344
- Shanahan, L., Steinhoff, A., Bechtiger, L., Murray, A. L., Nivette, A., Hepp, U., … & Eisner, M. (2020). Emotional distress in young adults during the COVID-19 pandemic: Evidence of risk and resilience from a longitudinal cohort study. Psychological Medicine, 1-10.
- Simon, P. (2020). The 10-item Perceived Stress Scale as a valid measure of stress perception. Asia-Pacific Psychiatry. https://doi.org/10.1111/appy.12420
- Smith, M. L., Steinman, L. E., & Casey, E. A. (2020). Combatting social isolation among older adults in a time of physical distancing the COVID-19 social connectivity paradox. Frontiers in Public Health, 8. https://doi.org/10.3389fpubh.2020.00403
- Snyder, C. R. (1995). Conceptualizing, measuring, and nurturing hope. Journal of Counseling & Development, 73, 355–360. https://doi.org/10.1002/j.1556-6676.1995.tb01764.x
- Snyder, C. R. (2002). Hope theory: Rainbows in the mind. Psychological Inquiry, 13, 249–275. https://doi.org/10.1207/S1532796 5PLI1304_01
- Snyder, C. R., Ilardi, S. S., Cheavens, J., Michael, S. T., Yamhure, L., & Sympson, S. (2000). The role of hope in cognitive-behavior therapies. Cognitive Therapy and Research, 24(6), 747–762.https://doi.org/10.1023/A:1005547730153
- Snyder, C. R., & Lopez, S. J., (2007). Positive psychology: The scientific and practical explorations of human strengths. Sage Publications.
- Snyder, C. R., & McCullough, M. E. (2000). A positive psychology field of dreams: “If you build it, they will come…” Journal of Social and Clinical Psychology, 19(1), 151–160. https://doi.org/10.1521/jscp.2000.19.1.151
- Snyder, C. R., Sympson, S., Ybasco, F., & Borders, T. (1996). Development and validation of the state hope scale. Journal of Personality and Social Psychology, 70(2), 321–335.
- Solomon, O. (2013). Exploring the relationship between resilience, perceived stress and academic achievement. Manchester Metropolitan University. (Unpublished).
- Stotland, E. (1969). The psychology of hope. Jossey-Bass.
- Valle, M. F., Huebner, E. S., & Seldom, S. M. (2006). An analysis of hope as a psychological strength. Journal of School Psychology, 44(5), 393–406. https://doi.org/10.1016/j.jsp.2006.03.005
- Werner, E. E. (1982). Vulnerable, but invincible: A longitudinal study of resilient children and youth. American Journal of Ortho psychiatric Association, 59.
- Wilks, S.E. & Croom, B. (2008). Perceived stress and resilience in Alzheimer’s disease caregivers: Testing moderation and mediation models of social support. Aging & Mental Health, 12(3), 357-365.
- Wilks, S. E., & Spivey, C. A. (2010). Resilience in undergraduate social work students social support and adjustment to academic stress. Social Work Education, 29(3), 276–288. https://doi.org/10.108002615470902912243
- Willis, K.D. & Burnett, H.J. (2016). The Power of Stress: Perceived Stress and Its Relationship with Rumination, Self-Concept Clarity, and Resilience. North American Journal of Psychology. 18(3), 483-498.
- Yikealo, D., Yemane, B. & Karvinen, I. (2018). The level of academic and environmental stress among college students: A case in the college of education. Open Journal of Social Sciences, 6, 40-57.
- Zhang, X., Zou, R., Liao, X., Bernardo, A. B. I., Du, H., Wang, Z., Cheng. Y., He, Y. (2021). Perceived stress, hope, and health outcomes among medical staff in China during the COVID-19 pandemic. Frontiers in Psychiatry. 11.
